페이지를 불러오는 중입니다. 잠시만 기다려주세요...

0%

L-카르니틴 타르트레이트는 최근 건강 및 피트니스 분야에서 핫하게 떠오르고 있는 성분입니다. 체지방 감소, 운동 능력 향상, 심혈관 및 뇌 건강 증진 등 다양한 효능을 지닌 이 영양소는, 건강한 삶을 추구하는 모든 이들에게 많은 관심을 받고 있습니다. 오늘은 L-카르니틴과의 차이점부터 시작하여 L-카르티닌 타르트레이트의 효능과 부작용 등에 대해 알아보겠습니다.

L-카르니틴 타르트레이트 대표 이미지

L-카르니틴 타르트레이트(L-Carnitine Tartrate)에 대하여

L-카르니틴, 그 정체는 무엇일까요?

L-카르니틴은 우리 몸에서 자연적으로 생성되는 아미노산 유사 물질입니다. 주로 육류와 유제품에 풍부하게 함유되어 있으며, 체내에서 에너지 생성에 중요한 역할을 합니다. L-카르니틴은 지방산을 세포의 에너지 발전소인 미토콘드리아로 운반하여, 지방을 에너지로 전환시키는 데 필수적인 역할을 합니다.

L-카르니틴 화학구조
L-카르니틴 화학구조

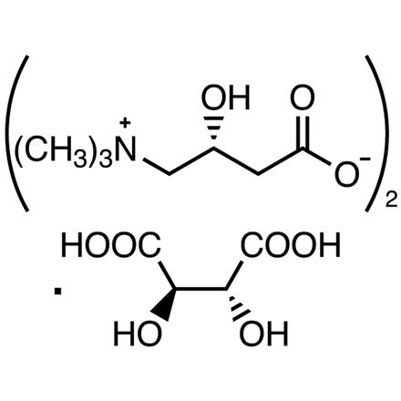
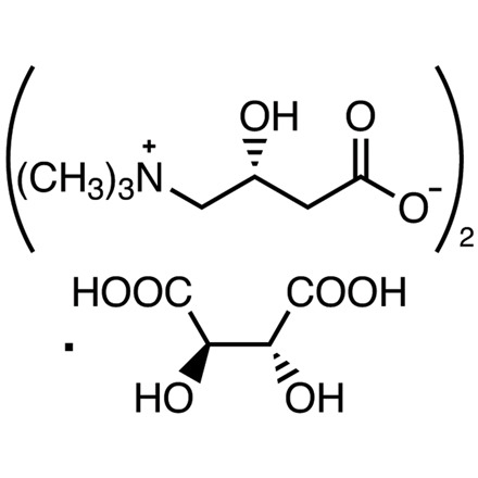
L-카르니틴 타르트레이트와 L-카르니틴의 차이

L-카르니틴 타르트레이트는 L-카르니틴에 타르트레이트(주석산염)를 결합하여 안정성과 흡수율을 높인 형태입니다. 즉, 일반 L-카르니틴보다 체내 흡수가 빠르고 효과적으로 작용할 수 있다는 의미입니다. 또한, 식품의약품안전처에서 체지방 감소 기능성을 인정받아, 다이어트를 위한 건강기능식품으로도 주목받고 있습니다.

L-카르니틴 타르트레이트

L-카르니틴 타르트레이트, 어떤 효능이 있을까요?

L-카르니틴 타르트레이트는 체지방 감소뿐만 아니라 다양한 건강 효능을 제공합니다.

  • 체지방 감소: 지방산을 에너지로 활용하도록 도와 체지방 감소 및 체중 관리에 기여합니다.
  • 운동 능력 향상: 운동 중 피로감을 줄이고 지구력을 높여 운동 효과를 극대화합니다.
  • 심혈관 건강 증진: 심장 근육의 에너지 생성을 돕고 심장 박동을 조절하여 심혈관 건강 유지에 도움을 줍니다.
  • 뇌 건강 증진: 뇌세포의 에너지 생성을 촉진하고 항산화 작용을 통해 뇌 기능 및 뇌 건강 증진에 기여하며, 뇌 노화 방지에도 도움을 줄 수 있습니다.
  • 면역력 강화: 면역 세포의 에너지 생성 및 활성을 증가시켜 면역 기능을 강화합니다.
  • 피로 회복 촉진: 에너지 생성 및 항산화 작용을 통해 피로 회복에 도움을 줄 수 있습니다.

누구에게 필요할까요?

L-카르니틴 타르트레이트는 다음과 같은 분들에게 특히 도움이 될 수 있습니다.

  • 다이어트를 원하는 분
  • 운동 능력을 향상시키고 싶은 분
  • 채식주의자
  • 노년층
  • 심혈관 질환, 뇌 질환 등의 예방 및 관리를 원하는 분

L-카르니틴 타르트레이트, 어떻게 섭취해야 할까요?

  • 하루 권장 섭취량: 1,000mg - 2,000mg
  • 섭취 시기: 운동 30분-1시간 전 섭취

L-카르니틴 타르트레이트 부작용 및 섭취 시 주의 사항

  • 과다 섭취 주의: L-카르니틴 타르트레이트는 일반적으로 안전하지만, 과다 섭취 시 메스꺼움, 복통, 설사, 구토 등의 위장 장애가 발생할 수 있습니다. 권장 섭취량을 지켜 섭취하는 것이 중요합니다.
  • 특정 질환자, 임산부 및 수유부: 신장 질환, 간 질환 등을 앓고 있거나 임신 중이거나 수유 중인 경우, 의사와 상담 후 섭취 여부를 결정해야 합니다.
  • 약물 복용 시: 특정 약물과 상호작용할 수 있으므로, 약물 복용 중인 경우 의사 또는 약사와 상담하는 것이 좋습니다.

마무리

L-카르니틴 타르트레이트는 건강하고 아름다운 몸을 만들기 위한 여정에 든든한 지원군이 될 수 있습니다. 하지만, 올바른 섭취 방법과 주의 사항을 숙지하고, 필요한 경우 전문가와 상담하여 안전하게 섭취하는 것이 중요합니다. 균형 잡힌 식단과 꾸준한 운동, 그리고 L-카르니틴 타르트레이트의 도움으로 건강하고 활기찬 라이프스타일을 만들어보세요.

참고: 이 글은 정보 제공 목적이며, 의학적 조언을 대체할 수 없습니다. 개인의 건강 상태에 따라 효과는 다를 수 있습니다. 섭취 전 전문가와 상담하는 것을 권장합니다.

 

함께하면 좋은 글

L2컷팅베이스 간단한 특징 리뷰

반응형
  • 네이버 블러그 공유하기
  • 네이버 밴드에 공유하기
  • 페이스북 공유하기
  • 카카오스토리 공유하기